Aktuelles + Termine
Aktuelles
Gottesdienste
Pfarrbrief
Dienstpläne
Stellenangebote
ISK + Datenschutz
Leitbild
Schätze und Bilder der Kirche
Archiv
Personen + Gruppen
Pastoralteam
Pfarrbüro
Kirchenvorstand
Pfarrgemeinderat
Gruppen & Verbände
Einrichtungen + Gebäude
Kirchen
Friedhof Holsten
KiTa St. Augustinus
Das zeichnet uns aus
Aktuelles
Termine
Personal
Elterninfo
Von und für Kinder
KiTa St. Cyriakus
Das zeichnet uns aus
Aktuelles
Religions Pädagogik
Termine
Personal
Elterninfo
Förderverein
Büchereien
Arche
Gemeindehaus Holsten
Haus St. Josef
Glauben + Leben
Taufe
Erstkommunion
Beichte
Firmung
Hochzeit & Ehe
Kinder & Familien
Krankheit
Tod und Trauer
Kirchenaus- und eintritt
Aktuelles + Termine
Aktuelles
Gottesdienste
Pfarrbrief
Dienstpläne
Stellenangebote
ISK + Datenschutz
Leitbild
Schätze und Bilder der Kirche
Archiv
Personen + Gruppen
Pastoralteam
Pfarrbüro
Kirchenvorstand
Pfarrgemeinderat
Gruppen & Verbände
Einrichtungen + Gebäude
Kirchen
Friedhof Holsten
KiTa St. Augustinus
Das zeichnet uns aus
Aktuelles
Termine
Personal
Elterninfo
Von und für Kinder
KiTa St. Cyriakus
Das zeichnet uns aus
Aktuelles
Religions Pädagogik
Termine
Personal
Elterninfo
Förderverein
Büchereien
Arche
Gemeindehaus Holsten
Haus St. Josef
Glauben + Leben
Taufe
Erstkommunion
Beichte
Firmung
Hochzeit & Ehe
Kinder & Familien
Krankheit
Tod und Trauer
Kirchenaus- und eintritt
Einrichtungen + Gebäude
KiTa St. Cyriakus
Termine
Termine
Was Wann Wo ....
Schließungstage :
Anmeldetermine Salzbergener KiTas
Anmeldetermine der Salzbergener Kinderta
Adobe Acrobat Dokument
248.0 KB
Download
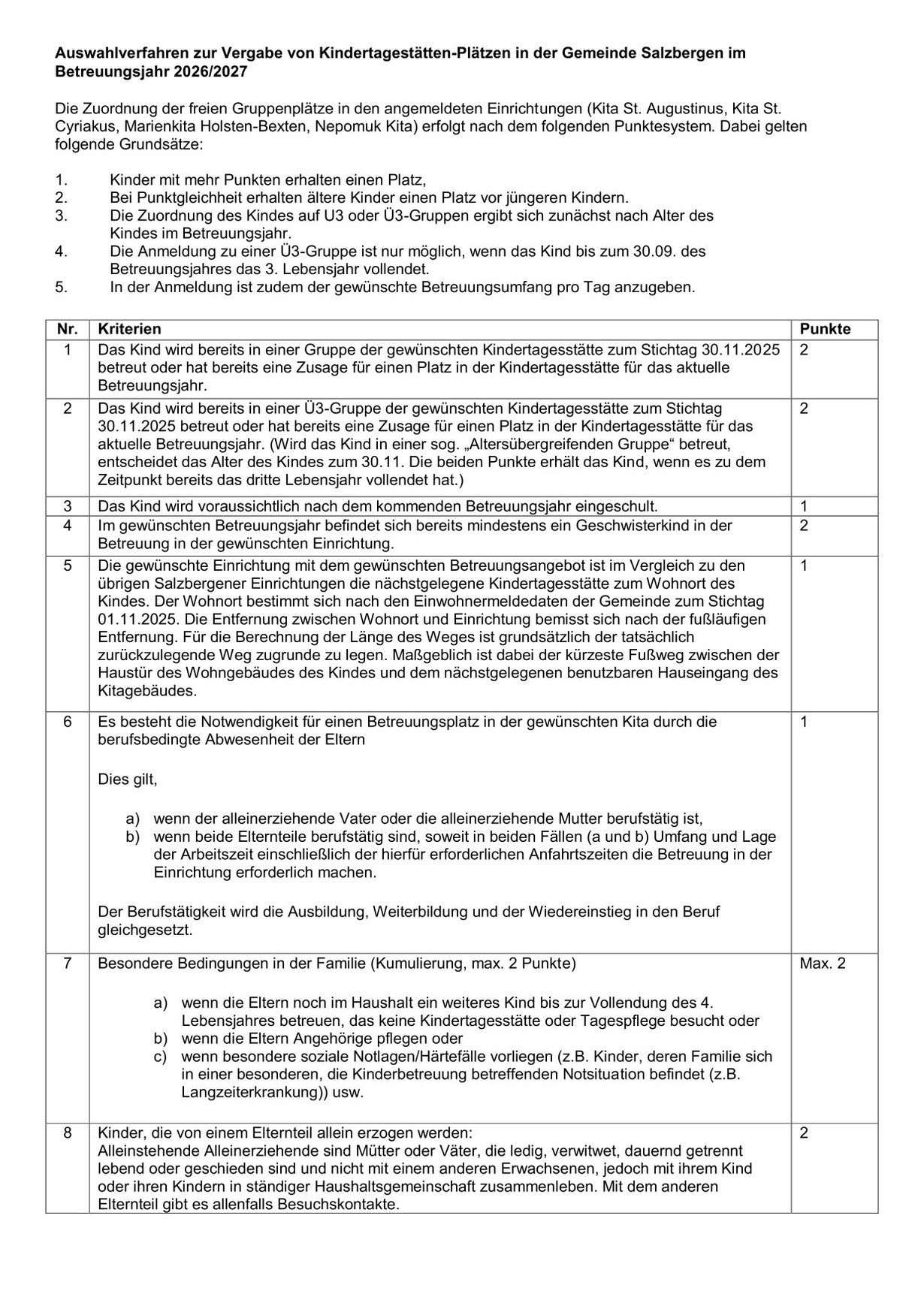
Erläuterung Auswahlverfahren
Erläuterung Auswahlverfahren 2026_2027.p
Adobe Acrobat Dokument
290.8 KB
Download
zuklappen